9 暖通空调
9.1 一般规定
9.1.1 建筑设计应充分利用自然条件,采取保温、隔热、遮阳、自然通风等被动措施减少暖通空调的能耗需求。建筑物室内采暖空调系统的形式、技术措施应根据建筑功能、空间特点、使用要求,并结合建筑所采取的被动措施综合考虑确定。
9.1.2 采用计算机能耗模拟技术能优化建筑节能设计,便于在设计过程中的各阶段对设计进行节能评估。利用建筑物能耗分析和动态负荷模拟等计算机软件,可估算建筑物整个使用期能耗费用,提供建筑能耗计算及优化设计、建筑设计方案分析及能耗评估分析,使得设计可以从传统的单点设计拓展到全工况设计。当建筑有高于现行节能标准的要求时,宜通过计算机模拟手段分析建筑物能耗,改进和完善空调系统设计。
9. 1. 3 冷热源形式的确定,影响能源的使用效率;而各地区的能源种类、能源结构和能源政策也不尽相同。任何冷热源形式的确定都不应该脱离工程所在地的具体条件。同时对整个建筑物的用能效率应进行整体分析,而不只是片面地强调某一个机电系统的效率。如利用热泵系统在提供空调冷冻水的同时提供生活热水、回收建筑排水中的余热作为建筑的辅助热源(污废水热泵系统)等。
绿色建筑倡导可再生能源的利用,但可再生能源的利用也受到工程所在地的地理条件、气候条件和工程性质的影响。
邻近河流、湖泊的建筑,在征得当地主管部门许可的前提下,经过技术经济比较合理时,宜采用地表水水源热泵作为建筑的集中冷热源。在征得当地主管部门许可的前提下,经过技术经济比较合理时,宜采用土壤源热泵或水源热泵作为建筑空调、采暖系统的冷热源。
9.1.4 室内环境参数标准涉及舒适性和能源消耗,科学合理地确定室内环境参数,不仅是满足室内人员舒适的要求,也是为了避免片面追求过高的室内环境参数标准而造成能耗的浪费。鼓励通过合理、适宜的送风方式、气流组织和正确的压力梯度,提高室内的舒适度和空气品质。
9.1.5 强调设备容量的选择应以计算为依据。全年大多时间,空调系统并非在100%空调设计负荷下工作。部分负荷工作时,空调设备、系统的运行效率同100%负荷下工作的空调设备和系统有很大差别。确定空调冷热源设备和空调系统形式时,要求充分考虑和兼顾部分负荷时空调设备和系统的运行效率,应力求全年综合效率最高。
9.1.6 为了满足部分负荷运行的需要,能量输送系统,无论是水系统还是风系统,经常采用变流量的形式。通过采用变频节能技术满足变流量的要求,可以节省水泵或风机的输送能耗;夜间冷却塔的低速运行还可以减少其噪声对周围环境的影响。
9.1.7 空调系统的节能设计是空调节能的前提。《公共建筑节能设计标准》GB 50189-2005对空调系统的节能设计进行了相关规定,如:冷水机组的性能系数(COP)、冷水系统的输送能效比(ER)和风系统风机的单位风量耗功率(WS)均应满足相关限值要求,即分别对空调系统的冷源系统、水系统、风系统等子系统的节能设计提出了要求,但没有体现子系统之间的匹配和关联关系。
空调各子系统相互耦合而非孤立,子系统最优,并非空调系统综合最优,某个子系统能效高可能会降低其他子系统的能效。所以空调系统的节能设计关键是空调系统各子系统的合理匹配与优化,使空调系统综合能效最高。因此,评价空调系统的节能优劣,应以空调系统综合能效比来衡量。
空调系统设计综合能效比(Designing comprehensive energy efficiency ratio)(以下简称CEER)反映一个空调系统在设计负荷下的总能耗水平。本条文提出了空调系统设计综合能效比的理论计算方法,以供空调系统节能设计时参考。
空调系统设计综合能效比限值采用的理论计算公式详见表7:
| 分项 | 理论计算式 |
| 空调系 统的综 合能 效比 CEER |
式中,Qc为空调系统的总供冷量(KW);Nc为冷水机组的耗电量(KW);Ncp为冷却水泵的耗电量(KW);NCT为冷却塔风机的耗电量(KW);Ncwp为冷水泵的耗电量(kW);∑Nk为所有末端空气处理机组的耗电量(KW);∑Nx为所有末端新风处理机组的耗电量(KW);∑NFP为所有末端风机盘管机组的耗电量(KW)。 |
| 冷源系 统的综 合能 效比 CEER1 |
式中,COP为冷水机组的性能参数(W/W);△T2为冷却水的供回水温差(℃);Hc为冷却水泵的扬程(m);ηcp为冷却水泵的效率;Cw为水的比热容,取4.1868kJ/kg;ρw为水的密度,取1×103kg/m3。 |
| 冷水系 统的综 合能 效比 CEER2 |
式中,△T1为冷水供回水温差(℃);Hcw为冷水泵的扬程(m);ηcwp为冷水泵的效率;g为重力加速度,取9.8067m/s2。 |
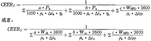
| 风系统的 综合能 效比 CEER3 |
式中,Pk、ηk 、△ik为空气处理机组风机的全压(Pa)、风机的总效率和空气处理机组进出口空气的焓差(kJ/kg);Px、ηx 、△ix分别为新风机组风机的全压(Pa)、风机的总效率和新风机组进出口空气的焓差(kJ/kg);△iFP为风机盘管机组进出口空气的焙差(kJ/kg);ρa为空气的密度(kg/m3);WSk、WSx、WSFD分别为空气处理机组、新风机组、风机盘管机组单位风量耗功率WSx[W/(m3/h)];a、b、c分别为空气处理机组、新风机组、风机盘管机组承担系统冷负荷的比例(a+b+c=1)。 |
![]() |
